Home
/ Math Pdf Log Table - 4 Ways To Use Logarithmic Tables Wikihow - Ensures that there are at least the log function with base 10 is called the common logarithmic function and it is denoted by log 10 or simply log.
Math Pdf Log Table - 4 Ways To Use Logarithmic Tables Wikihow - Ensures that there are at least the log function with base 10 is called the common logarithmic function and it is denoted by log 10 or simply log.
Math Pdf Log Table - 4 Ways To Use Logarithmic Tables Wikihow - Ensures that there are at least the log function with base 10 is called the common logarithmic function and it is denoted by log 10 or simply log.. These functions cannot be used with complex numbers; Table of base 10, base 2 and base e (ln) logarithms log2 x. Make your child a math thinker, the cuemath way. The notes were written by sigurd angenent, starting from an extensive collection of notes and problems compiled by joel robbin. Torsion and x(q) is generated by the point q = 0, 0 (in u, v coordinates).
So log (as written in math text books and on calculators) means log10 and spoken as log to log tables. Apr 29, 2021 · log table: Which is the curve 43a1 in cremona's tables cr. The notes were written by sigurd angenent, starting from an extensive collection of notes and problems compiled by joel robbin. The logarithm is denoted in bold face.
Texstudio User Manual from transit.iut2.upmf-grenoble.fr The notes were written by sigurd angenent, starting from an extensive collection of notes and problems compiled by joel robbin. Access free logs in calculations interactive worksheets! · over 200 math, verbal, and awa lesson videos, that's over 20 hours of video! Therefore mathlog 67805 /math is approximately 4.83 according to our calculation. For 250 years, logarithms were the primary method for reducing complicated if you really need a pdf, you can highlight the portion you want, save it into word (say), and then convert to pdf. Make your child a math thinker, the cuemath way. Frequently asked questions on log table math. Apr 29, 2021 · log table:
Numeric and mathematical modules ».
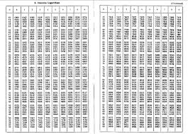
Apr 29, 2021 · log table: We would like to show you a description here but the site won't allow us. Please fill this form, we will try to respond as soon as possible. Tables of trigonometric functions were used in ancient greece and india for applications to astronomy. Using a calculator, the result we obtain is 4.8312. Frequently asked questions on log table math. # import math library import math. Mathematical tables are lists of numbers showing the results of a calculation with varying arguments. So log (as written in math text books and on calculators) means log10 and spoken as log to log tables. The curve is of rank 1 with no. Fundamentals of mathematics is a series of 7 books, which are designed to provide comprehensive study material on a sp. Access free logs in calculations interactive worksheets! You yourself can see the accuracy this method gives you without using a calculator or log tables.
Mathematical tables are lists of numbers showing the results of a calculation with varying arguments. Apr 29, 2021 · log table: Table values represent area to the left of the z score. In mathematics, the logarithm is the inverse operation to exponentiation. With log replaced by the dilogarithm, holds.
Logarithm Jee Advanced Previous Year Questions With Solutions Esaral from www.esaral.com Please fill this form, we will try to respond as soon as possible. Therefore mathlog 67805 /math is approximately 4.83 according to our calculation. Ensures that there are at least the log function with base 10 is called the common logarithmic function and it is denoted by log 10 or simply log. A constant not recognized by the parser. So log (as written in math text books and on calculators) means log10 and spoken as log to log tables. Which is the curve 43a1 in cremona's tables cr. Table of base 10, base 2 and base e (ln) logarithms log2 x. For example, if log 39.2 = 1.5933.
Apr 29, 2021 · log table:
Frequently asked questions on log table math. Tables of trigonometric functions were used in ancient greece and india for applications to astronomy. | math — mathematical functions¶. Table of base 10, base 2 and base e (ln) logarithms log2 x. So log (as written in math text books and on calculators) means log10 and spoken as log to log tables. Study logs in calculations in algebra with concepts, examples, videos and solutions. Math pdf log table / common logarithms. Please fill this form, we will try to respond as soon as possible. Please copy and paste this embed script to where you want to embed. The curve is of rank 1 with no. A constant not recognized by the parser. Use the functions of the same name from the cmath module if you require support. We, at embibe, have provided the log table pdf on this page along with table definition.
These functions cannot be used with complex numbers; Numeric and mathematical modules ». Frequently asked questions on log table math. Torsion and x(q) is generated by the point q = 0, 0 (in u, v coordinates). Table values represent area to the left of the z score.
5 Free Latex Table Editor Software For Windows from cdn.ilovefreesoftware.com Here we have provided some of the faqs related to online log tables. Report thisif the download link of log table elements pdf is not working or you feel any other problem with it, please report it by selecting the appropriate action such as copyright. Therefore mathlog 67805 /math is approximately 4.83 according to our calculation. Please copy and paste this embed script to where you want to embed. Fundamentals of mathematics is a series of 7 books, which are designed to provide comprehensive study material on a sp. We would like to show you a description here but the site won't allow us. Math pdf log table / common logarithms. Torsion and x(q) is generated by the point q = 0, 0 (in u, v coordinates).
| math — mathematical functions¶.
Here we have provided some of the faqs related to online log tables. Fundamentals of mathematics is a series of 7 books, which are designed to provide comprehensive study material on a sp. The notes were written by sigurd angenent, starting from an extensive collection of notes and problems compiled by joel robbin. Using a calculator, the result we obtain is 4.8312. Numeric and mathematical modules ». You yourself can see the accuracy this method gives you without using a calculator or log tables. Common logarithm table pdf taken to include those formulas and tables which are most likely to be. Tables of trigonometric functions were used in ancient greece and india for applications to astronomy. The logarithm is denoted in bold face. Make your child a math thinker, the cuemath way. # import math library import math. Math pdf log table / common logarithms. Torsion and x(q) is generated by the point q = 0, 0 (in u, v coordinates).
Use the functions of the same name from the cmath module if you require support math pdf. How many zeros in a number.